HİZMET VER
Armut
SPSS Veri Analizi
İstanbul
Kadıköy
Burak Deveci
SPSS Veri Analizi
·
4 aydır üye
İstanbul
Kadıköy
BAŞLA
Müşterilerinin Yorumları
Yorumları görmek için teklif alın.
Güvenlik Kontrolleri
Geçerli Cep Telefonu
Geçerli Email Address
Kuruluş / İşe Başlama Yılı
2024
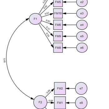
Merhaba! Mevcut akademik kariyerimin yanında, istatistiksel analizlerle sağlık bilimleri ve sosyal bilimler alanlarındaki çalışmalarınıza profesyonel destek sağlıyorum. Verilerinizi sadece SPSS çıktısı olarak değil, APA 7 formatına uygun hâlde tablolaştırıp, bulguları kısaca yorumlayarak raporluyorum. Excel, SPSS ve Jamovi üzerinde; Normallik Analizleri Hipotez Testleri Korelasyon Regresyon Moderatör/ Mediatör Analiz Açımlayıcı/ Doğrulayıcı Faktör Analizleri vb. G*Power üzerinden güç analizi
X
Müsait Hizmet Verenlerden 4 SPSS Veri Analizi Fiyat Teklifi Al, Karşılaştır.
787 SPSS Veri Analizi Uzmanı hizmet vermeye hazır.
BAŞLA
Teklif al >
4 SPSS Veri Analizi Fiyat Teklifi Al