HİZMET VER
Armut
AYT Kimya Özel Ders
Bursa
Osmangazi
Enes Doğan
AYT Kimya Özel Ders
·
1 yıldır üye
Bursa
Osmangazi
BAŞLA
Müşterilerinin Yorumları
Yorumları görmek için teklif alın.
Güvenlik Kontrolleri
Geçerli Cep Telefonu
Kuruluş / İşe Başlama Yılı
2016
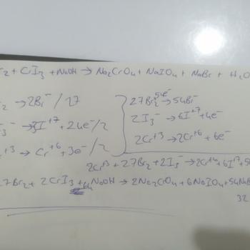
Konuları farklı öğretim yöntemleri ile resimlerde görüldüğü gibi basitleştirerek aktarıyoruz. Online canlı ders ile öğrencilerimize Kimya dersi vermekteyiz. Gelecekte ben kim olacağım? sorusuna cevap arayan öğrencilerimizi kim ya ? dersimize bekleriz
X
Müsait Hizmet Verenlerden 4 AYT Kimya Özel Ders Fiyat Teklifi Al, Karşılaştır.
1777 AYT Kimya Özel Ders Öğretmeni hizmet vermeye hazır.
BAŞLA
Teklif al >
4 AYT Kimya Özel Ders Fiyat Teklifi Al