HİZMET VER
Armut
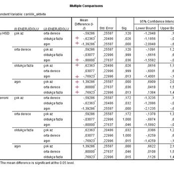
ANOVA Analizi
İstanbul
Beşiktaş
Zeynep Polat
ANOVA Analizi
·
9 aydır üye
İstanbul
Beşiktaş
BAŞLA
Müşterilerinin Yorumları
Yorumları görmek için teklif alın.
Güvenlik Kontrolleri
Geçerli Cep Telefonu
SPSS & EViews Analizi | Tez – Ödev – Proje Profesyonel Destek Akademik çalışmalarınızda ya da projelerinizde ihtiyaç duyduğunuz istatistiksel analiz hizmetini, alanında yetkin ve deneyimli bir ekip olarak size sunuyoruz. SPSS ve EViews programlarında uzmanız; hem lisans, yüksek lisans ve doktora düzeyindeki tez/ödev çalışmalarında hem de profesyonel araştırmalarda size özel, hatasız ve açıklamalı analiz desteği sağlıyoruz. Hizmet Detaylarımız: SPSS ile betimleyici analizler, güvenilirlik testleri, korelasyon-regresyon, ANOVA, faktör analizi vb. EViews ile zaman serisi analizi, ekonometrik modelleme, ARIMA, VAR/VECM, panel veri analizi Analiz sonuçlarının açık ve anlaşılır raporlanması Grafik, tablo ve yorumlamalarla teslim Teslim öncesi revize ve danışman desteği Neden Biz? Veriye ve bilime dayalı çalışma Hızlı ve güvenilir teslimat Her aşamada iletişimde kalınan şeffaf süreç Uygun fiyat, kaliteli hizmet anlayışı Detaylı bilgi ve örnek çalışmalar için mesaj atabilirsiniz. Verinizi bize bırakın, analizleri profesyonellere teslim edin!
X
Müsait Hizmet Verenlerden 4 ANOVA Analizi Fiyat Teklifi Al, Karşılaştır.
999 ANOVA Analisti hizmet vermeye hazır.
BAŞLA
Teklif al >
4 ANOVA Analizi Fiyat Teklifi Al